徠卡機器人全站儀助力三等水準測量
一、前言
目前高程測量方法一般分為幾何水準測量、GPS水準測量和三角高程測量三大類。采用傳統水準的方法測定點與點之間的高差,所得到的地面點高程精度較高,普遍用于建立國家高程控制點及測定高等級地形控制點的高程。對于地面高低起伏較大的地區,采用這種方法測定地面點的高程進程緩慢,有時甚至非常困難。

精密三角高程測量在丘陵地、山地、高山地區相比常規水準測量,因架站少、架站自由、靈活、快速,不需要量測儀器、棱鏡高,傳遞高程優勢顯著,能大大降低外業勞動強度,但受限于全站儀的硬件性能,此前一直未能在生產中實際應用;徠卡測量機器人的出現,打破了三角高程測量不能代替高精度水準測量的束縛,徠卡自動全站儀多測回自動觀測、自動識別限差,給野外測量帶來很大的便利,尤其夜間觀測成果更佳。
二、精密三角高程測量技術的可行性研究

作業流程:
檢測棱鏡互差,并檢核棱鏡的加裝是否符合要求,同時還要對全站儀進行組合檢校;
在起點布設棱鏡桿,在距離起點較近的一點(轉點1),布設主站;
主站在轉點1依次觀測棱鏡桿低棱鏡(①)和棱鏡桿高棱鏡(②);
主站不動,在轉點2架設輔站。依次進行如下觀測:后測站觀測低棱鏡(③)、前測站觀測低棱鏡(④)、前測站觀測高棱鏡(⑤)、后測站觀測高棱鏡(⑥);
主站換站至轉點3,輔站不動。依次進行如下觀測:后測站觀測低棱鏡(⑦)、前測站觀測低棱鏡(⑧)、前測站觀測高棱鏡(⑨)、后測站觀測高棱鏡(⑩);
輔站換站,依次循環進行高程的傳遞至接近末點處;
在最后的轉站,主站依次觀測末點高低棱鏡。
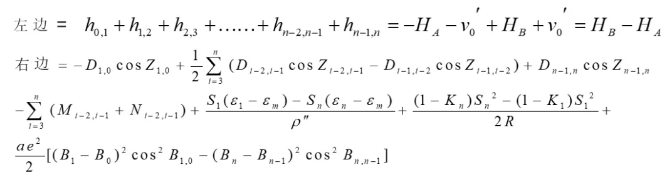
數據模型:

限差

三、項目驗證
為了驗證精密三角高程測量的精度, 內蒙古自治區測繪院使用徠卡TCRA1201全站儀、徠卡TS30全站儀及徠卡TS60全站儀等檢測了很多段用數字電子水準儀測得二等水準路線。其結果如表所示, 精密三角高程測量是完全可以達到二等水準測量的要求。

四、經驗積累、廣泛應用
自2010年5月以來,內蒙古自治區測繪院在呼和浩特、包頭、鄂爾多斯、巴彥淖爾市、烏蘭察布市、赤峰市已成功的使用徠卡自動全站儀精密三角高程測量代替二等水準測量1700多千米;在烏蘭察布市、呼倫貝爾市、興安盟、赤峰市等地方成功的使用徠卡自動全站儀精密三角高程測量代替三等水準測量4000多千米。

經過數年的研究,不同時間,不同區域,所測得的數據基本都能滿足國家二等水準測量規范的要求。徠卡自動全站儀搭配三角高程測量軟件、計算軟件和正確的測量方法,達到了目的和效果。同時我們也積累了諸多的外業經驗:
盡可能使用無伸縮腳架觀測,測段起、末水準點上,對中桿要放穩,保持高度不。
對向觀測時,如一站觀測時間過長,應重測對向觀測。
白天平均氣溫超過26℃時,在保障安全的作業前提下,最好在夜間作業,提前踏勘、選定觀測路線和測站點,更能顯著提高作業效率。
白天作業視線長度不宜超過800米,經過大量測量數據證明500米左右為最佳觀測距離。
白天作業時間遵照水準測量規范上的要求,由于在陽光直射和地面溫度較高,熱氣浪大時大氣折光影響較大。
自動照準觀測,視場內不能有遮擋物在棱鏡前。
視線不能通過煙火上空,觀測目標背后不能有大面積反光地物(蔬菜大棚),大面積水域。
在ATR自動照準時盡量避免陽光直射,由于正對太陽時,在自動照準光路中會有噪聲,從而影響自動照準的精度。

五、總結
傳統二、三等水準在山地、高山的測量中,需要耗費大量的人力、物力和財力,且效率極低。以傳統水準測量為例,在山地連測二、三等水準,單程連續觀測前后視距5-10米,一站一站連測,一個組一天連測3-5公里左右,依據財政部、國家測繪局2009 年頒布的《測繪生產成本費用定額》計算,100個水準點需要聯測1000千米。若對這些點進行二等水準觀測,100個水準點觀測的費用為207萬元,一個組5人需要400天完成。而同樣任務利用徠卡自動全站儀精密三角高程聯測二等水準,一個組一天聯測8-10公里左右,200天以內就可以完成1000千米的水準測量,節省大量的人力、物力。應用徠卡自動全站儀精密三角高程代替二、三等水準測量在困難地區聯測,可產生巨大的經濟效益。
徠卡自動全站儀精密三角高程測量具有傳遞高程靈活、方便、受地形條件限制較少等優點,徠卡測量機器人超高的測角測距精度,為精密三角高程測量提供了硬件保障,目前徠卡自動全站儀精密三角高程測量在大地測量、工程測量中得到了廣泛的應用。
更多相關
墨江發生地震 測繪無人機應急航拍
9月8日10時31分29秒,云南省普洱市墨江哈尼族自治縣通關鎮發生5.9級地震。地震發生后,云南省測繪地理信息局立即啟動應急響應,提供應急測繪保障。 云南局無人機應急測繪保障分隊攜兩套固定翼和一...
徠卡BLK360三維激光掃描儀在社區改造中的掃描應用
一、應用背景 目前,國家提倡城鎮老舊小區改造,加強城市的更新,讓人民群眾的居住生活環境質量得到進一步提升。某建筑工作室承接了社區的改造設計任務,按照要求,要在短期內提交設計方案。在社區中有一座歷...
鼓浪嶼申遺成功得益于地理信息的大力支持
在聯合國教科文組織的世界遺產委員會第41屆會議上,我國提交的“鼓浪嶼歷史國際社區”獲批列入《世界遺產名錄》,成為中國第52項世界遺產和第36項世界文化遺產。國信司南(北京)地理信息技術有限公司參...
盤點|2017上半年測繪地理信息領域的那些大事
驚風飄白日,光景西馳流,2017年三分之二時日已過。 以半年為節點,地理信息行業大事不斷,三調拉開帷幕、新測繪法出臺、國家基礎比例尺多項新標準亮相等等,都在隱喻這個行業的蓬勃發展。 同...
無人船測量技術的發展應用及未來
無人船,又稱自主航行船只(AutonomousSurfaceVehicle,ASV),是通過電子設備、傳感器、計算機算法等技術實現自我導航和操作的船舶。隨著科技的進步,無人船在多個領域展現出巨大...
韓國新坤RL-100/RL-100G/RL-100D激光掃平儀的用途
1.激光掃平儀,用來在房屋、道答路施工過程中抄平,它從發光器里發出水平可見激光線,保證房屋、路面上的標回志線水平。 2.工程中常常需要確定一個平面,如港口中的道路、堆場、廣場、碼頭面層、機場...
徠卡BLK360 G1帶您了解影視大片背后的奧秘!
徠卡BLK360G1與影視舞臺搭建:來自TheThirdFloor工作室的虛擬制片負責人CaseySchatz將真實畫面和虛擬特效在電影布景中完美融合。 &n...
無人機應急測繪成績顯著
從前段時間召開的全國應急測繪保障工作暨國家應急測繪保障能力建設項目實施啟動會上了解到,“十二五”以來,全國應急測繪保障工作取得顯著成效,為突發事件應急處置提供了及時有力的測繪地理信息保障服務,受到...











環球測繪微信